A.
Pengertian vektor
Setiap besaran skalar seperti
temperature, tekanan, massa, dan sebagainya selau dikaitkan dengan suatu
bilangan yang merupakan nilai dari besaran itu. Untuk besaran vektor, di
samping mempunyai nilai, ia juga mempunyai arah. Misalnya, pada gerakan angin,
selain disebutkan lajunya, disebutkan juga arahnya, seperti 20km/jam dengan
arah timur laut. Definisi vektor dan
skalar :
-
Vektor
: segmen garis berarah yang mempunyai besaran. Jadi, vektor adalah besaran yang
mempunyai arah, misalnya : kecepatan, momen, gaya, percepatan, berat, dll.
-
Skalar
: suatu besaran yang tidak mempunyai arah. Misalnya, panjang, luas, jarak,
,suhu, dll.
B.
Penulisan vektor
-
Ditulis dengan huruf kecil dicetak
tebal. Misalkan : a,b,c
. . .
-
Ditulis dengan huruf kecil yang
diatasnya dibubuhi tanda panah. Misalkan : ā , ē . . . .
-
Ditulis dengan huruf kecil dan garis
di bawahi. Misalkan :
C.
Rumus-rumus vektor
a.
Vektor satuan
b.
Besar panjang vektor
c.
Penjumlahan maupun pengurangan
vektor
e. Perkalian skalar
h.
Proyeksi orthogonal skalar
i.
Proyeksi orthogonal vektor
j.
Titik p pembagi AB dengan
perbandingan m:n
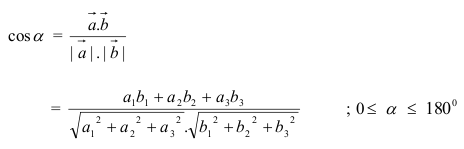
k. Sudut vektor
Sudut
antara dua vektor dapat diketahui dari dua sisi, yaitu :
1. Komponen Vektor
maka,
2. Titik Koordinat
maka,
Untuk menghitung sudut antara vektor a dan vektor b
digunakan dot product kedua vektor. Sehingga kosinus sudut antara dua vektor
adalah:
Jika vektor a dan b saling tegak lurus maka nilai X
adalah...
A. - 28
B. - 22
C. - 12
D. 0
E. 2
Pembahasan
Dalam bentuk biasa, kedua vektor sebagai berikut:
a = i + 2j + 3k
b = Xi + 5j + 5k
Kedua vektor saling tegak lurus sehingga θ = 90.
Tentukan terlebih dahulu a . b
a . b = (i + 2j + 3k) . (Xi + 5j + 6k) = X + 2 . 5 + 3 . 6 = X + 10 + 18 = X + 28
Jadi nilai X:
a . b = |a| . |b| cos θ
X + 28 = |a| . |b| cos 90
X + 28 = 0
X = - 28
Jawaban: A
A. - 28
B. - 22
C. - 12
D. 0
E. 2
Pembahasan
Dalam bentuk biasa, kedua vektor sebagai berikut:
a = i + 2j + 3k
b = Xi + 5j + 5k
Kedua vektor saling tegak lurus sehingga θ = 90.
Tentukan terlebih dahulu a . b
a . b = (i + 2j + 3k) . (Xi + 5j + 6k) = X + 2 . 5 + 3 . 6 = X + 10 + 18 = X + 28
Jadi nilai X:
a . b = |a| . |b| cos θ
X + 28 = |a| . |b| cos 90
X + 28 = 0
X = - 28
Jawaban: A
Nomor 2
Vektor a = xi + 2k dan vektor b = xi - 2k. Jika kedua vektor saling tegak lurus maka nilai x adalah...
A. 1
B. 2
C. 3
D. 4
E. 5
Pembahasan
a . b = |a| . |b| cos θ
(xi + 2k) (xi - 2k) = |a| . |b| cos 90
x2 - 4 = 0
x2 = 4
x = 2
Jawaban: B

















No comments:
Post a Comment